El número pi (π) aparece en los lugares más inesperados. Puede ser encontrado en círculospor supuesto, así como en péndulos, manantiales y meandros de ríos. Este número cotidiano está vinculado a misterios trascendentales. Ha inspirado Los enigmas del pensamiento shakespearianodesafíos de repostería y Incluso una canción original. Y pi sigue sorprendiendo: la más reciente fue en enero de 2024, cuando los físicos Arnab Priya Saha y Aninda Sinha del Instituto Indio de Ciencias presentaron un Fórmula completamente nueva para calcularlo, que luego publicaron en Cartas de revisión física.
Saha y Sinha no son matemáticos. Ni siquiera buscaban una nueva ecuación de Pi. Más bien, estos dos teóricos de cuerdas estaban trabajando en una teoría unificadora de las fuerzas fundamentales, una que pudiera reconciliar el electromagnetismo, la gravedad y las fuerzas nucleares fuerte y débil. En la teoría de cuerdas, los bloques básicos del universo no son partículas, como los electrones o los fotones, sino más bien hilos diminutos que vibran como las cuerdas de una guitarra y al hacerlo causan todos los fenómenos visibles. En su trabajo, Saha y Sinha han investigado cómo estas cuerdas podrían interactuar entre sí y descubrieron accidentalmente nuevas fórmulas relacionadas con importantes cantidades matemáticas.
Durante milenios, la humanidad ha intentado determinar el valor exacto de pi. Esto no es sorprendente, dada la utilidad de calcular la circunferencia o el área de un círculo, que permite pi. Incluso los eruditos antiguos desarrollaron métodos geométricos para calcular este valor. Un ejemplo famoso es Arquímedes, quien estimó pi con la ayuda de polígonos: dibujando un círculo. norteAl calcular un polígono de dos lados dentro y otro fuera de un círculo y calcular el perímetro de cada uno, pudo reducir el valor de pi.
Sobre el apoyo al periodismo científico
Si le gusta este artículo, considere apoyar nuestro periodismo galardonado suscribiéndoseAl comprar una suscripción, usted contribuye a garantizar el futuro de historias impactantes sobre los descubrimientos e ideas que dan forma a nuestro mundo actual.
Un método común para determinar pi geométricamente implica dibujar un polígono delimitador dentro y fuera de un círculo y luego comparar los dos perímetros.
Fredrik/Leszek Krupinski/Wikimedia Commons
Los profesores suelen enseñar este método en la escuela, pero aunque no lo recuerdes, probablemente puedas imaginar que el proceso es bastante complejo. Arquímedes llegó al punto de comparar los perímetros de polígonos con 96 vértices para demostrar que pi está entre 3,1408 y 3,1429. Por lo tanto, este enfoque no es realmente práctico para calcular pi con exactitud.
Una serie infinita para determinar Pi
En el siglo XV, los expertos descubrieron que las series infinitas eran una nueva forma de expresar el valor de Pi. Sumando los números uno por uno, se podía obtener el valor de Pi. Y cuantos más sumandos se observen, más preciso será el resultado.
Por ejemplo, el erudito indio Madhava, que vivió entre 1350 y 1425, descubrió que pi es igual a 4 multiplicado por una serie que comienza con 1 y luego resta o suma alternativamente fracciones en las que se coloca 1 sobre números impares sucesivamente más altos (por ejemplo, 1/3, 1/5y así sucesivamente). Una forma de expresar esto sería:

Esta fórmula permite determinar el número Pi con la precisión que se desee de una manera muy sencilla. No es necesario ser un experto en matemáticas para resolver la ecuación. Pero sí es posible hacer Se necesita paciencia. Se necesita mucho tiempo para obtener resultados precisos. Incluso si evalúas 100 sumandos, aún estarás muy lejos de la realidad.
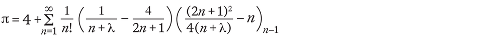
Como descubrieron Saha y Sinha más de 600 años después, la fórmula de Madhava es sólo un caso especial de una ecuación mucho más general para calcular el número pi. En su trabajo, los teóricos de cuerdas descubrieron la siguiente fórmula:

Esta fórmula produce una suma infinitamente larga. Lo sorprendente es que depende del factor λ, un parámetro que se puede seleccionar libremente. No importa qué valor tenga λ, la fórmula siempre dará como resultado pi. Y como hay infinitos números que pueden corresponder a λ, Saha y Sinha han encontrado un número infinito de fórmulas para pi.
Si λ es infinitamente grande, la ecuación corresponde a la fórmula de Madhava. Es decir, como λ solo aparece en el denominador de las fracciones, las fracciones correspondientes a λ = ∞ se vuelven cero (porque las fracciones con denominadores grandes son muy pequeñas). Por lo tanto, para λ = ∞, la ecuación de Saha y Sinha adopta la siguiente forma:

La primera parte de la ecuación ya es similar a la fórmula de Madhava: se suman fracciones con denominadores impares. La última parte de la suma (–norte)n-1sin embargo, es menos conocido. El subíndice norte – 1 es el llamado símbolo Pochhammer. En general, la expresión (a)norte corresponde al producto a incógnita(a + 1) x (a + 2) x … x (a + norte – 1). Por ejemplo, (5)3 = 5 x 6 x 7 = 210. Y el símbolo Pochhammer en la fórmula anterior da como resultado: (–norte)norte – 1 = (–norte) y (–norte + 1) x (–norte + 2) x … x (–norte + norte – 3) x (–norte + norte – 2).
Algunos pasos para la fórmula de Madhava
Todos estos elementos parecen complicados a primera vista, pero se pueden simplificar rápidamente. Primero, reste -1 a cada factor. El signo delante del producto enorme es, por lo tanto, -1 si norte es impar y +1 si norte es par, por lo que obtienes (–)norte)norte – 1 = (–1)norte incógnita norte y (norte – 1) x (norte – 2) x … x (norte – norte + 3) x (norte – norte + 2). Los últimos factores se pueden simplificar aún más: (–norte)norte – 1 = (–1)norte incógnita norte y (norte – 1) x (norte – 2) x … x 3 x 2 x 1.
Esta expresión alargada es en realidad (–norte)a – 1 = (–1)norteincógnita nortedando como resultado lo siguiente:

Esto corresponde a la fórmula de Madhava. La ecuación encontrada por Saha y Sinha también contiene, por lo tanto, la serie descubierta por Madhava.
Sin embargo, como informan los dos teóricos de cuerdas, pi se puede calcular mucho más rápido para valores más pequeños de λ. Mientras que el resultado de Madhava requiere 100 términos para llegar a 0,01 de pi, la fórmula de Saha y Sinha para λ = 3 solo requiere los primeros cuatro sumandos. [Madhava’s] La serie necesita 5 mil millones de términos para converger a 10 decimales, la nueva representación con λ entre 10 [and] “100 requiere 30 términos”, escriben los autores en su artículo. Sin embargo, Saha y Sinha no encontraron el método más eficiente para calcular pi. Hace varias décadas que se conocen otras series que proporcionan un valor asombrosamente preciso con mucha más rapidez. Lo verdaderamente sorprendente en este caso es que los físicos idearon una nueva fórmula para pi cuando su artículo pretendía describir la interacción de cuerdas. Desarrollaron un método para indicar la probabilidad con la que dos cuerdas cerradas interactuarían entre sí, algo que muchos teóricos de cuerdas han estado buscando durante décadas sin éxito.
Cuando Saha y Sinha analizaron más de cerca las ecuaciones resultantes, se dieron cuenta de que podían expresar el número pi de esta manera, así como la función zeta, que es El corazón de la conjetura de Riemannuno de los mayores misterios sin resolver de las matemáticas. Dados los intereses de los teóricos de cuerdas, sus fórmulas para pi y la función zeta solo adornan el último párrafo de su artículo. “Nuestra motivación, por supuesto, no era encontrar una fórmula para pi”, Sinha dijo en un video de YouTube de Numberphile“Pi fue solo un subproducto”.
Este artículo apareció originalmente en Espectro de la ciencia y fue reproducido con permiso.